Session-based Cyberbullying Detection in Social Media: A Survey
Cyberbullying is a pervasive problem in online social media, where a bully abuses a victim through a social media session. By investigating cyberbullying perpetrated through social media sessions, recent research has looked into mining patterns and features for modeling and understanding the two defining characteristics of cyberbullying: repetitive behavior and power imbalance. In this survey paper, we define the Session-based Cyberbullying Detection framework that encapsulates the different steps and challenges of the problem. Based on this framework, we provide a comprehensive overview of session-based cyberbullying detection in social media, delving into existing efforts from a data and methodological perspective. Our review leads us to propose evidence-based criteria for a set of best practices to create session-based cyberbullying datasets. In addition, we perform benchmark experiments comparing the performance of state-of-the-art session-based cyberbullying detection models as well as large pre-trained language models across two different datasets. Through our review, we also put forth a set of open challenges as future research directions.
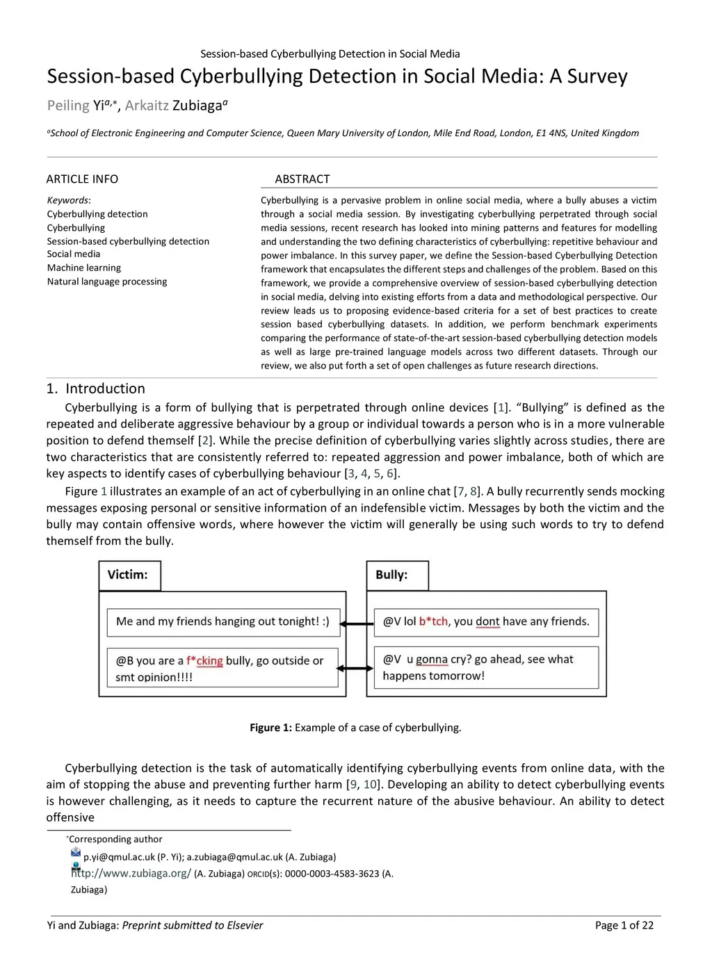
View on arXiv